平台服務條款

為促進柯特資訊多媒體有限公司(以下稱「本公司」)建置之「KurTech Drive」服務(以下稱「本服務」)之健全發展,使會員充分瞭解應遵守之規範與權利義務,保障消費權益,特訂定本服務條款。使用本服務前,本公司已將本服務條款全部內容供會員攜回或於本服務網頁上公告,會員註冊、申請、或購買前應審閱至少 3 個日曆日。

第一章 總則

第一條 公司資訊

公司名稱:柯特資訊多媒體有限公司
營業登記地址:臺南市東區怡東路 86 巷 3 號 1 樓
統一編號:90050000
負責人:黃宇哲

第二條 平台資訊

一、 平台服務網址:https://temp.kurtech-studio.com
本服務網站係指平台網址及本公司基於提供本服務而製作之附屬網站、網頁及其周邊服務(以下稱「本服務網站」)。

二、 客服聯絡資訊
站內線上客服:點我前往
LINE 線上客服:@kurtech.drive
電子郵件:kurtech.drive@gmail.com
服務時間:24 小時

第三條 服務指標

本公司所提供的「KurTech Drive雲端硬碟」服務,其主要目的為加強及推廣 Synology 群暉科技 網路儲存硬碟之線上與線下商品銷售量。
KurTech Drive 訂閱服務是提供消費者在購買 Synology 系列產品前的產品試用服務。
KurTech Drive 永久方案服務是本公司為免去消費者長期設備管理、折舊等隱性成本所提供的主機代管服務。

本公司上述商業行為已經由 Synology 線上書面審查通過,符合其「使用者授權合約 」EULA 條款內所規定之相關內容。
使用者一經註冊、訂閱、購買 KurTech Drive 服務時,視同無條件接受群暉科技 Synology 上述 EULA 條款內之所有規定,不得有任何異議。

第四條 雙方履約保證

為免除消費者之消費疑慮或誤會,本公司將針對部分商品之「永久時效」進行履約保證之特別說明。
消費者一經購買 「KurTech Drive 永久方案」系列商品後(以下稱「該類商品」),即視為同意以下契約內容:

  1. 此雙方履約保證,不會受到其他條款變更及服務終止而受到影響,永久有效。
  2. 一般情況下,該類商品經販售後,可永久使用至消費者本人死亡。
  3. 禁止將該類商品之使用者帳號及密碼經由故意透露、販售、租賃、贈與或任一型態繼承之方式交移給第三人。若經查證屬實,將會依此契約內容與該帳號新持有者收取商品現行販售金額乙次,方可繼續存取使用(原資料保存)。
  4. 承前項所述,如因故發生使用者帳號及密碼之轉移情形,後續因該帳號內之資訊內容所引發之民事、刑事糾紛或相關法律問題,本公司一概不負相關責任。
  5. 該類商品經販售後,除系統更新維護或重大緊急狀態(包含,但不僅限於來自其它國家的武力攻擊、內戰、暴動、恐怖攻擊、天災等)導致服務中斷外,本公司有義務提供全年無休 24 小時之雲端硬碟儲存服務直至消費者本人死亡。且本公司有義務自商品結帳日起進行履約,提供該服務至少 20 年。在此期間,若產生前二項所提及之帳號轉移情形,則不另行收費。
  6. 消費者違反本服務條款第二章第三條之規定,導致帳號被暫時性鎖定、停權甚至刪除,以致消費者無法使用本產品,本公司將不會退還任何已付款項。
  7. 若因為消費者違反上述服務條款所衍伸出的額外法律問題導致本公司名譽或其他實質上損失,本公司將保留所有法律責任之相關權利,並得依實際情況向消費者請求賠償。
  8. 為保護消費者權益,本公司因任何問題導致無法履行契約內容時(意指消費者購買該類商品後無法使用至少 20 年),本公司有義務針對該類商品對消費者進行退款。

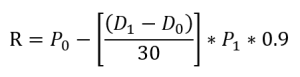
    *退款金額上限為消費者原購買該類商品之「實際付款金額」,其退款計算公式如下:
    R=實際退款金額

    P0 = 消費者原購買該類商品之實際付款金額
    P1 = 該類商品同容量之月訂閱金額
    D0 = 消費者購買該類商品之起始日期
    D1 = 本公司公告之解約日期

    money_return_fx

第二章 會員規範

第一條 會員資格

會員應為中華民國民法所規定具備完全行為能力之自然人或為商號、公司 等依據中華民國法律成立之法人。如果會員為未成年人或非具備民事完全行為能力者,尚須由會員之法定代理人(或法院選任之特別代理人)詳閱、 瞭解並同意本服務條款之所有內容,方可註冊及使用本服務。

第二條 註冊及帳號安全性

一、 會員應於註冊時,提供本公司指定之相關資料及文件(包括但不限於:姓名或公司名稱、電子郵件信箱位址、電話、身分證統一編號/營利事業統一編號等),會員應保證相關資料之真實性,並應於資料變更時即時通知本公司或於本公司會員系統辦理變更,維護相關資料之正確性,以利查核會員身分。本公司保留接受新會員註冊與否之權利,或於知悉會員資料不符或資料變更未依規定通知本公司者,本公司有暫停或終止提供本服務全部或一部之權利,如造成本公司之損害,本公司將依法主張權利。

二、 會員註冊或使用本服務時,即視為已同意遵守本服務條款及本服務網站之相關規定,包括但不限於本服務條款、《平台產品使用規範》、《隱私權條款》及所公告之各項規定,及其增刪修改之內容。未成年人或非具備民事完全行為能力者於使用本服務時,應取得法定代理人(或法院選任之特別代理人)同意並詳閱、了解本服務之相關規定。

三、 帳號密碼安全性

  1. 會員應妥善保管用於登入本服務之帳號、密碼,不得以任何方式讓與、轉借或授權他人使用自己之登入身份,任何經由該組帳號、密碼之行為,應由註冊之會員負其責任,或因會員其他過失所造成之損害(包括但不限於對會員本人、本公司或第三人),本公司將不負任何責任,並得向會員請求賠償。
  2. 會員於發現本服務之帳號、密碼遭第三人冒用、盜用之情形時,應立即通知本公司客服中心辦理相關手續,且同意本公司基於保護會員交易安全之理由,立即停止該帳號使用本服務,並暫停該帳號所指示及後續指示之支付行為直至該異常狀況解除為止,本公司不負任何因此造成之損害賠償責任。本公司並得要求會員出具相關文件(包括但不限於:警政機關報案證明、切結書、身分證明文件等),以受理帳號、密碼遭第三人冒用之申訴或恢復該帳號之使用權。
  3. 本公司應於知悉會員之帳號密碼被冒用時,立即通知會員並暫停該帳號所指示之支付行為,並暫停接受該帳號後續之支付指示。

四、本公司為配合主管機關、金融監理機關、警政機關、法院、收單機構、收款工具合作廠商等,有暫停帳戶之使用、停止款項撥付等必要,應立即通知會員並暫停該帳號,會員不得因此向本公司主張損害賠償責任。

第三條 平台產品使用規範

一、 本公司保留對會員提供本服務之最終決定權。

二、 本服務之服務方式及範圍以會員使用本服務之時為準。其方式及範圍如有增減、變更或修改時,本公司將公佈於相關服務之網頁。

三、 會員應確保其登記於本服務之電子郵件信箱為正常使用狀態,並應定期檢視其內容。本公司將於每筆款項支付完成後,以電子郵件形式通知付款方支付明細,但各該筆款項之實際處理情形、狀態,仍以本服務系統所記錄者為準。

四、 會員同意本公司為防制洗錢及打擊資恐之目的,得依「洗錢防制法」、「資恐防制法」及主管機關之相關規定請會員提供其本身、負責人、實質受益人或高階管理人員之身分證明文件及相關資訊,或依前開規定辦理交易查核等,會員若不願配合,本公司得不經預告、通知而逕行暫停、拒絕或終止會員使用本服務,本公司並就此所衍生之一切損害不負賠償責任。

五、 本公司提供支付明細查詢網頁供付款方隨時查詢,付款方應即時查閱本服務之相關通知訊息。

六、 本服務基於服務內容所需,提供因本服務而衍生之相關操作流程及網站介面,該介面非為會員網際網路交易平台,不涉及居間或媒合會員間交易關係,本公司亦不參與或介入會員之商業經營及會員間之交易關係。

七、 會員使用本服務前,請先確認正確之本服務網站網址,方使用本服務,以維護交易安全。會員對於本服務全部功能之操作,均須於本服務網站進行,除另有事先公告服務中止或不可抗力之連線中斷外,本服務網站提供每日 24 小時使用。所有會員於本服務網站上執行之操作均由系統即時接收,並依該功能說明即時或批次進行處理,除本服務網站另有說明外,會員一經確認交易,均不得撤回、取消或修改任何操作及利用本服務網站介面所為之意思表示。

八、 會員應擔保其依法擁有必要之資格、權利或許可,得合法透過本服務經營其相關業務及商品之販售,並不得販售法規命令或國際組織規定禁止販售之產品或提供之服務,且應完全遵守本服務條款及本服務相關規範之規定。如因違反前述規定,包括但不限於包裝、公司名稱、商標、說明、圖案或其他書面資料有違法或侵害第三人之商標(含聯合、防護商標及服務標章)專用權、專利權、著作權、營業秘密或其他權利之情事,而遭第三人向本公司主張權利,或造成本公司或第三人損害,概由會員負責。

第三章 其他說明

第一條 以電子文件為表示方法

一、 本公司與會員同意以電子文件作為表示方法,依本服務條款交換之電子文件,其效力與書面文件相同。

二、 會員同意於本服務網站執行功能選項及任何條款之同意與否,均由本公司詳實記錄登入帳號、 IP 及時間等資訊,會員於本服務網站所為之行為均具法律效力。

三、 所有根據本服務條款公布於本服務網站之內容及後續修正內容,將以線上同意形式為之。若會員對本服務、本服務條款及相關使用規範之任一部分有疑義或反對時,應即停止使用本服務之全部,如繼續使用,視為同意本服務條款及相關使用規範之全部。

第二條 保密義務

一、 會員對本服務所取得之交易資訊、交易相對人之資料(包括但不限於信用卡交易資料、收款額度、費率等)、非公開於本服務網站之服務資訊,除法律或主管機關另有規定者外,均負有保密義務,不得公開傳播或為任何形式之揭露。若會員違反前揭保密義務,本公司有權終止提供本服務,如因而致本公司受有損害,會員應負賠償之責。

二、 會員對付款方之資訊應負保密義務,除完成交易所必須外,不得公開傳播或以任何形式揭露,若因此造成付款方或本公司之損害,會員應負賠償之責。

三、 本條保密義務不因本服務期滿或終止而失其效力。

第三條 資訊安全

一、 本公司及會員應各自確保其資訊系統之安全,防止非法入侵、取得、竄改、毀損業務紀錄或付款方之個人資料。

二、 如發生第三人破解本公司資訊系統之保護措施或利用資訊系統之漏洞爭議,將由本公司就該事實不存在負舉證責任。

三、承上,如發生第三人入侵本公司之資訊系統對會員所造成之經濟損害,須由會員自行就該事實附上舉證後,會員損失將由本公司負擔。

第四條 條款變更及服務終止

一、 本服務條款如有修改或增刪時,本公司將於生效日前 30 個日曆日公告於本服務網站,並以電子郵件通知會員,會員若拒絕接受該修改或增刪條款,應立即停止使用本服務,否則即視為同意修改或增刪條款之內容。

二、 本服務依業界一般標準及現況提供,若本服務停止全部功能,則本服務條款亦隨同停止,會員不得異議,亦不得請求損害賠償。

三、 會員使用本服務時應遵守所適用之中華民國相關法規命令及國際慣例,會員同意本公司基於法令及其他會員使用本服務權益之考量,於本公司認定會員有違反法令之行為或違反本服務條款及相關規定之情事時,得不經預告、通知而逕行暫停、拒絕或終止會員使用本服務。如有造成第三人或本公司之損害,應由會員自行承擔法律責任,並賠償第三人及本公司所受之損害。

四、 若會員有下列情事之一者,本公司亦得不經預告、通知而逕行暫停、拒絕或終止會員使用本服務,會員不得據以向本公司主張任何損害賠償:

  1. 依破產法聲請和解、聲請宣告破產、聲請重整、清算或解散、票債信不良、經票據交換所公告拒絕往來、暫停營業、結束營業,或受法院、行政機關強制執行、假扣押或假處分,或其他事由致無法履行所提供之產品或服務之虞者。
  2. 轉讓全部或部分營業資產之所有權或營業予他人,或有其他信用不良足以影響營運之情事。
  3. 會員不配合提交或更新會員身分相關資料,或提供虛偽身分認證資料經查證屬實者。
  4. 有相當事證足認會員有利用本服務為洗錢、資恐、詐欺等犯罪行為或不法行為或疑似該等不法行為者。

五、 除本服務條款另有規定外,本公司暫停會員使用本服務之一部或全部時,須於暫停前於本官方網站之公告,或以書面、電話、電子郵件等方式通知會員。